#4. 면접준비-Filter
취준이야기 2023. 5. 3. 02:12현재 면접 준비중인 회사들
Ti korea, 현대모비스, 삼성전자
모두 회로쪽 직무로 회로이론, 전자회로 위주의 공부
Passive filter란, Passive element(수동소자)들을 활용하여 필터를 구성한 회로를 의미.
Passive 소자는 RLC 소자로 생각하면 되고, HPF, LPF, BPF, BSF로 구성되어 있으며, 소자 구성의 배치에 따라 달라진다.
Active filter에 비해 회로가 단순하다.
기본적으로, 커패시터는 고주파를 통과시키고, 인덕터는 저주파를 통과시키는 것으로 해석하면 간략하게 회로를 생각할 수 있다.


Special Functions of LPF and HPF
Special Functions of LPF and HPF - Low-pass and high-pass filter circuits are used as special circuits in many applications. Low-pass filter (LPF) can work as an Integrator, whereas the high-pass filter (HPF) can work as a Differentiator. These two mathema
www.tutorialspoint.com
먼저, 왜 Active filter가 필요한지에 대해서 생각해본다.
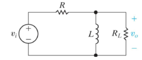
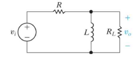
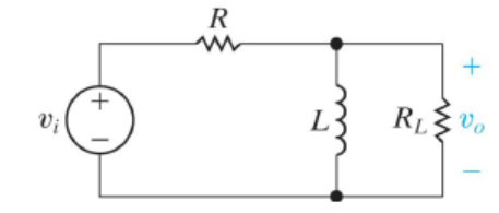
다시 passive filter 회로를 생각해보자

여기서 Vout 출력부분을 생각해보자. 만약 자신이 Vout 부분에서 오실로스코프를 활용하여 출력을 측정하게 된다면, 출력측 단자에 오실로 스코프를 양단에 연결하는 순간 결국 저항성분이 병렬로 연결하는 것과 동일한 효과를 내게 된다.
즉, 아래 그림처럼 회로가 그려질 수 있다.(사진은 HPF)

이렇게 되면 원래 특성에서 저항이 추가되어 원하는 특성을 가진 회로를 얻기가 힘들어진다.

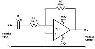
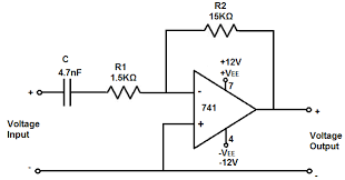
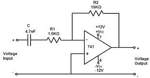
따라서, 출력측에서 무언가 연결하여도 Filter의 성능이 변하지 않는 회로가 필요한데, 이를 Active filter라 하고, 능동소자들을 활용하여 회로의 특성이 외부 요인에 의해 바뀌지 않도록 구성할 수 있다. 대표적으로 OP amp를 활용하여 구성한다.

위 사진은 Active filter 중 HPF로 OP AMP와 R, C 소자를 활용하여 만든 Filter이다.
출처 : https://en.wikipedia.org/wiki/Active_filter
Active filter - Wikipedia
From Wikipedia, the free encyclopedia Analog circuit which filters an electronic signal using an amplifier An example of high-pass active filter of the Sallen–Key topology. The operational amplifier is used as a buffer amplifier. An active filter is a ty
en.wikipedia.org
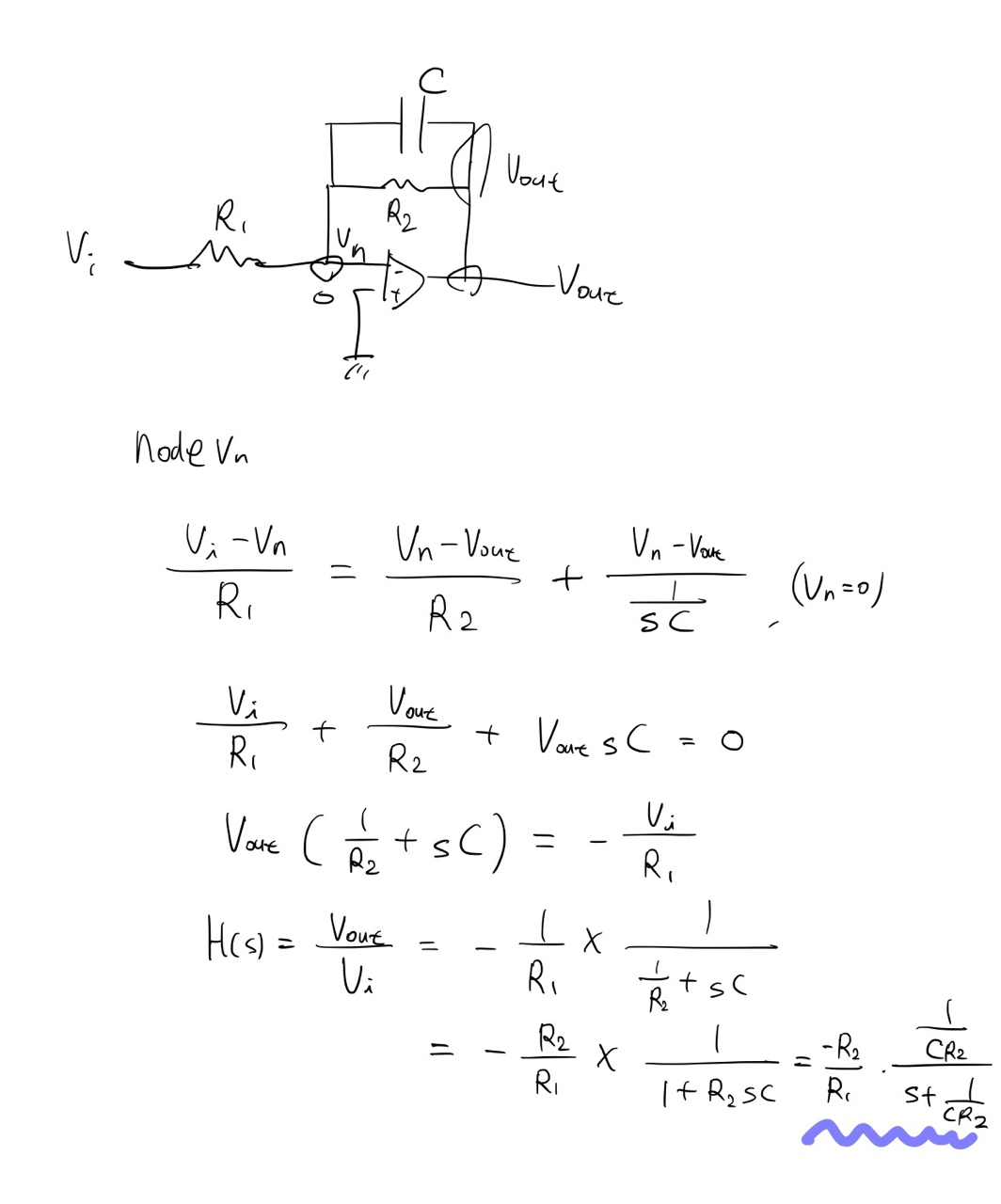
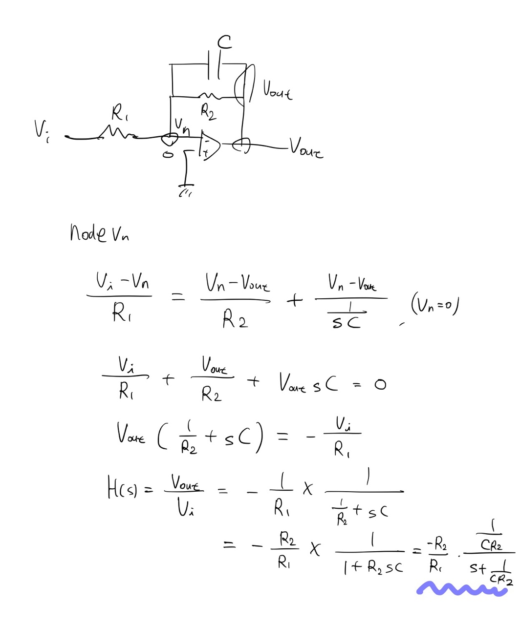
좀 더 간단한 형태의 Active filter를 보면

해당 회로를 KCL을 활용하여 해석해보면

가 되고 마지막 전달함수의 형식을 자세히 보면

의 꼴이 되어 전달함수 상으로 LPF 임을 알 수 있다. 여기서도 Gain은 기본적으로 저항값에 따라 결정된다.(Wc가 Cut-off frequency 이다.) HPF도 이와 비슷하게 해석하면 되고, C의 위치를 앞쪽으로 옮기면 된다.

해당 회로도 간단하게 식을 정리하면

전달함수의 형태가 HPF의 형태가 된다는 것을 알 수 있다.
글이 좀 뒤죽박죽인데, 추후에 회로이론 파트에서 Filter에 대한 정확한 계산식을 정리해서 올리도록 하겠다.
| #6. 면접준비-Ti사 뉴스 (2) | 2023.05.15 |
|---|---|
| #5. 면접준비-MSP430 MCU 다뤄보기(Code Composer Studio) 튜토리얼 (0) | 2023.05.04 |
| #3. 면접준비(회로이론)-추가중 (0) | 2023.04.29 |
| #2. 면접준비 (0) | 2023.04.28 |
| #1. Texas Instrument Korea(Ti코리아)//채용공고 (0) | 2022.10.20 |