#1. 교류(AC)에 대한 이해(Sinusoidal), RMS 값이란?
회로이론/회로이론2 2023. 9. 13. 00:57회로이론2 에서는 교류전류에 대해서 배우게 된다. 교류는 위상이 바뀌는 전압과 전류를 의미하는데, 기본적으로 우리 생활에서는 교류를 활용하여 전력을 전송하고 있다. 여기서 말하는 교류는 대부분 Sin함수의 파형을 갖는 신호를 의미하지만, 꼭 sin함수가 아니더라도, 주기성을 가진 신호라면 교류로 해석하는 경우가 많다. 그 중에서도 오늘은 가장 기초가 되는 Sinusoidal Function에 대해서 알아보려 한다.
1. 삼각함수 파형의 교류(AC)

가장 기본적인 교류전압을 나타낸 것이다. 최대값이 +와 - 양쪽으로 Vm 을 가지며, cos 안에는 각주파수와 위상차(파이)가 들어있다. 수학시간에 배운 기본적인 sin 파형의 성질을 그대로 가져가며, 주기는 T, w = 2*파이*주파수 형태를 갖는다.
파이값은 평행이동한 값으로 생각하면 되겠으며, 추후 3상을 다룰 때에 어느정도 위상차가 있는지를 결정하게 된다. 교류는 AC라고 불리는데 이는 Alternating Current(교대 전류) 의 줄임말이다.
여기서 한가지 생각해 볼 것은, sin파형이라 이야기하지만, 실제 문제들을 보면 cos으로 표현된 경우가 많은데, 이는 추후에 phasor 내용에서 보면 오일러 공식상에서 sin이 허수부를 의미하기 때문에, 실수부인 cos 계산을 하기 위한 것으로 추측된다.
2. RMS 값
교류에서는 RMS값을 적용하여 계산하는 경우가 많다. RMS에 대한 수학적인 정의는 Root Mean Square로, 직역하면 제곱평균제곱근 이라는 말이 된다. 이를 수식으로 표현하면 다음과 같이 표현 할 수 있다.(예시는 cos함수를 기준)

가장 바깥쪽에 제곱근이 있고, 안쪽을 들여다 보면 먼저 주기로 나눈 것을 알 수 있다. 주기로 나눴다는 의미가 평균을 의미하는 것이고, 그 안에는 cos값을 기준으로 예시를 주었기 때문에, 주어진 함수를 제곱하고 적분한 값을 평균을 낸 후에 제곱근을 붙였다는 것으로 생각하면 된다. 그래서 제곱평균제곱근 이라는 말로 기억하면 조금 더 쉽게 기억 할 수 있을 것이다.
RMS 값의 경우 여러가지 의미가 있는데, 회로이론에서는 교류(AC)가 가진 에너지를 직류(DC)로 환산했을 때 어느정도일까를 구할때 RMS 값을 쓰게 된다. 일상속에서도 우리는 220V 교류전압을 사용하는 것인데, 이 220V 값이 바로 RMS값이다. 실제로 걸리는 전압은 이에 루트2배인 311V 가 최대값인 sin파형을 갖는 전압이 걸리고 있는 것이다.
RMS 값은 실효값(Effective Value)이라고도 전기이론에서는 이야기한다. 아래 그림은, 여러가지 주기함수 파형을 갖는 교류에서 실효값, 평균값등을 나타낸 자료이다. 첫번째줄의 Effective Value가 RMS값이라고 생각하면 되겠다.

3. 예제
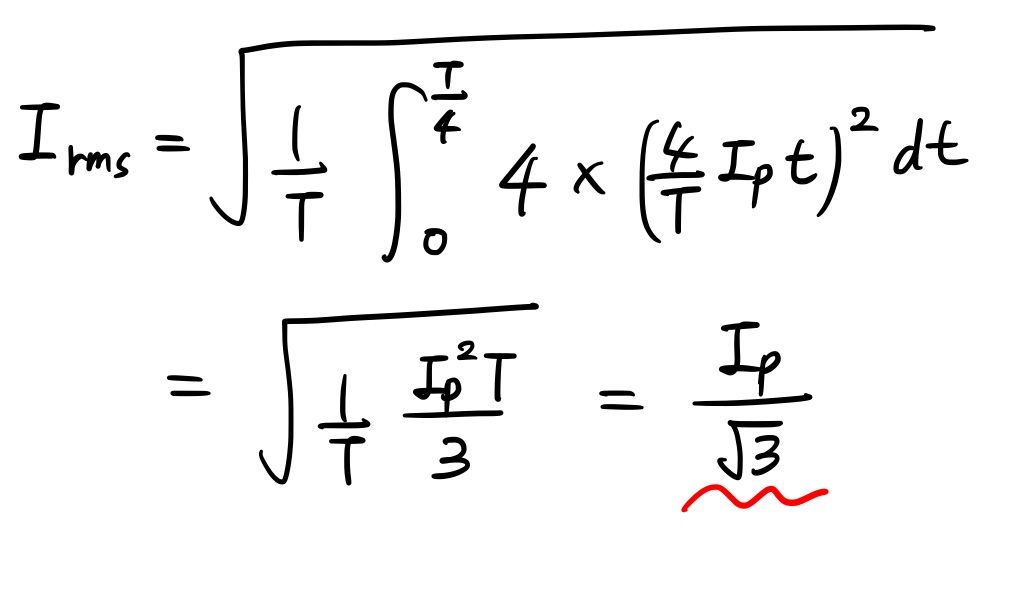
빠르게 예제하나를 풀어보도록 하겠다. 다음 그래프에서 RMS 값을 구하여라

앞에서 배운 RMS의 정의를 활용하면 된다. 이 함수의 식을 구해서, 제곱하여 적분 한 뒤 주기로 나눠주고 마지막에 제곱근을 씌우면 된다. 다만, 여기서는 대칭성을 활용할 수 있으므로, 제곱한 값을 적분할 때에 잘 생각해보면, 직선을 제곱한 형태인 2차함수를 적분하는 것과 동일하고, 제곱했으므로 부호 역시 +가 되기 때문에, 주기의 1/4만 구해서 4배를 해주면 적분값을 알 수 있다.

이렇게 식을 구했으면 나머지는 적분/평균/제곱근의 과정을 거치면 된다.

이렇게 계산 하면 총 rms 값이 peak 값의 루트3으로 나눈 값임을 알 수 있다. 즉, 삼각파형 에서의 RMS 값은 루트3배 차이가 난다는 것을 알 수 있다. (위의 표와 동일한 결과)
회로이론2에서 문제를 푸는 방법은 여전히 회로이론1에서 배운 KVL, KCL, 노드해석법, 메쉬해석법을 활용하여 문제를 풀게 된다. 따라서 앞 내용을 잘 모르는 상황이라면 다시 한번 보고 오길 바란다.
#5. Kirchhoff's Current/Voltage Law(KCL,KVL,키르히호프법칙)
#5. Kirchhoff's Current/Voltage Law(KCL,KVL,키르히호프법칙)
이번 글에서는 KCL과 KVL의 정의에 대해 알아본다. #0. 기초용어 KCL과 KVL을 소개하기 전에, 기본 용어에 대해서 알고 넘어가자 1. Node(노드) 노드란 둘 이상의 회로요소(소자)들이 만나는 지점으로,
lifelectronics.tistory.com
Node Voltage Method(KCL회로해석법, 노드해석법)
#7. Node Voltage Method(KCL회로해석법, 노드해석법)
#0. Node Voltage Method 앞에서 이야기한 KCL을 활용한 회로해석법으로 Node Voltage Method를 소개한다. Node Voltage Method란 KCL을 활용한 회로해석법으로, 한 노드로 들어가는 전류와 나가는 전류가 서로 같다
lifelectronics.tistory.com
수식을 작성하는 데에 있어 굉장히 어려움을 겪고 있다. 지금은 어쩔 수 없이 필기로 대체하지만, Latex를 쓰기에도 번거로워서, 어떻게 해야하나 고민중이다. 티스토리 내에서 해결할 수 있는 방법이 있다면 댓글에 달아주시면 고맙겠습니다.
| #0. 회로이론2를 시작하며 (0) | 2023.08.09 |
|---|