2001년 전기기사 실기 2회 8번 해설 <010208>
전기기사 2022. 6. 9. 12:478. 가로 10m, 세로 16m, 천장높이 3.85m, 작업면 높이 0.85m인 사무실에 천장 직부 형광등 F40 x2를 설치하려고 한다.
(1) F40x2의 심벌을 그리시오
(2) 이 사무실의 실지수는 얼마인지 구하시오
(3) 이 사무실의 작업면 조도를 300lx, 천장반사율 70%, 벽 반사율 50%, 바닥 반사율 10%, 40W 형광등 1등의 광속 3150lm, 보수율 70%, 조명률 61%로 한다면 이 사무실에 필요한 소요 등기구 수는 몇등인가?
(1) F40x2의 심벌을 그리시오
(2) 이 사무실의 실지수는 얼마인지 구하시오
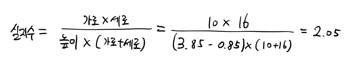
다음과 같은 공식으로 구한다, 실지수를 구할 때, 높이는 작업면으로부터 등이 얼마나 떨어져 있는지를 기준으로 하므로, 천장 높이에서 작업면 높이를 빼서 구한다.
추가적으로, 실지수는 실지수 표에따라 범위를 나눈다.
이에 따른다면, 2.05는 실지수 2.0에 해당하므로 2.0으로 써야 정답이 된다. 실지수 표의 값들은 외우고 있어야한다.
(3) 이 사무실의 작업면 조도를 300lx, 천장반사율 70%, 벽 반사율 50%, 바닥 반사율 10%, 40W 형광등 1등의 광속 3150lm, 보수율 70%, 조명률 61%로 한다면 이 사무실에 필요한 소요 등기구 수는 몇등인가?
조명문제 : "FUN=ESD"
또한 형광등이 x2 이므로 2등이 달리는 것을 의미한다. 따라서 광속에 2를 곱해야한다.
N = ESD/FU = (300*(10*16)*(1/0.7)) / ((3150*2)*0.61)=17.84
실지수 증명
당연히 시험에서는 바로 외워서 풀어야 겠지만, 증명을 알아둔다면 공식을 까먹었어도 풀 수 있다.
2001년 전기기사 실기 2회 10번 해설 <010210> (0) | 2022.06.13 |
---|---|
2001년 전기기사 실기 2회 9번 해설<010209> (0) | 2022.06.13 |
2001년 전기기사 실기 2회 7번 해설<010207> (0) | 2022.06.08 |
2001년 전기기사 실기 2회 6번 해설 <010206> (0) | 2022.06.08 |
2001년 전기기사 실기 2회 5번 해설 <010205> (0) | 2022.06.08 |